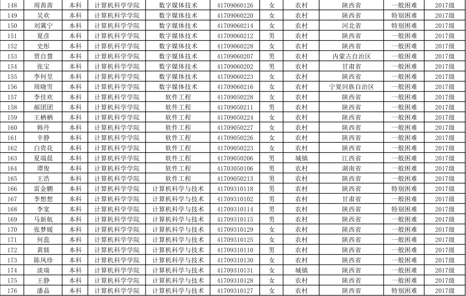
根据学校《关于做好2018-2019学年家庭经济困难学生认定工作的通知》要求,2018-2019学年,我院共有344人被认定为家庭经济困难学生,其中特别困难123人,一般困难221人。现对认定结果予以公示(附详细名单)。
公示时间:2018年11月23日-2018年11月28日。公示地点:7号楼427办公室外走廊公示栏内。公示期间如有异议,请于2018年11月28日之前以书面形式向学院反馈。
反馈地址:7号楼427办公室
反馈电话:62779023(张老师)
反馈邮箱:335014578@qq.com
best365官方网站登录入口
学生工作办公室
2018年11月23日












